中本聪币core质押视频 区块链是什么?如何看待区块链?
区块链是什么?如何看待区块链?
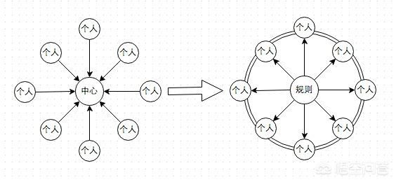
大多数人可能不知道,近几年来被人们推崇为“web3.0时代万能解决方案”的区块链,其实存在着一个“不可能三角”,即可扩展、去中心化和安全三种要素不能共存。为了确保分散的特性,如开放性、不篡改性和安全性,必须给予任何节点平等的权利和义务。整体系统性能受到单个节点的限制,因此如果要实现"去中心化"和"安全性",就必须放弃"可扩展性"。

然而,对于区块链来说,可扩展性是非常重要的,正如以太坊的创始人曾经说:"可扩展性可能是头号问题。扩展性问题已成为很多系统的坟墓。”IPFS分布式存储技术的诞生很好地解决了这一问题,目前许多项目开始尝试"IPFS 区块链"的方式,既保留了区块链去中心化、安全的优势,又解决了长期困扰的可扩展性问题。
IPFS又称星际文件系统,是一种点对点分布式超媒体协议。它的诞生是为了解决集中式传输协议HTTP带来的一系列问题。例如,传输效率低、安全风险高、存储成本高等。IPFS将数据分割并存储在不同服务器的节点中。用户可以同时从网络中的多个节点下载文件。此外,IPFS还通过哈希加密来保证数据的安全性,这完全符合区块链的模式。无论是去中心化结构还是信息加密技术,IPFS的思想都与区块链的思想相吻合。IPFS通过一系列加密为数据生成一个未篡改的地址,然后将地址存储在区块链中。这相当于将原始数据简化为一个地址,然后将其链接起来,从而在不牺牲安全性和分散性的情况下完成扩展,解决了区块链的"不可能三角形"的问题。
相信未来"IPFS 区块链"将成为新一代Internet的基本解决方案,目前国内外许多项目都采用了IPFS技术,随着区块链应用场景的不断扩展,该技术的性能要求将逐步提高,我们相信IPFS分布式存储协议将通过提高区块链的可扩展性来促进区块链应用的进一步发展。了解更多点击(www.ipfsunicorn.com/?lxp.souhu) 电话:400-608-1788
谢谢悟空问答的邀请!
长久关注我的网友都知道我对区块链和比特币的观点,正好看到钱塘号的一篇文章,和我的观点一致,且分析得非常精准,就借用其中部分内容小结一下吧。
1、区块链是一种鸡肋技术
人类社会任何技术的发明应用,本质都是为了提高社会的生产效率。而所谓区块链技术本质不过是几种早已成熟的技术的大杂烩,冗余且十分低效,除了提高了洗钱和诈骗的效率以外,对人类社会的进步毫无贡献。
2、不是蠢就是坏的区块链媒体
空气币和区块链的造富神话,让区块链自媒体也开始迎风乱扭。一群群根本不知道区块链为何物的妖魔鬼怪纷纷进驻区块链自媒体战场,开始大放厥词胡编乱造。
现在搞区块链的每个人其实都想去掉现有的中心,让自己变成中心,这是人性使然,不管人类社会发展到什么程度,人性的贪婪永远不会改变。区块链的谎言就像“没有中间商赚差价”一样,本质都是想把其它中间商都干掉,让自己成为最大的中间商。
区块链技术淋漓尽致地展现了人与人失去了信任之后社会所需要付出的高昂代价,当既有信托机制崩溃的时候,阴谋家和野心家以及诈骗犯又是如何趁虚而入,疯狂收割的。
总之,任何东西,但凡只要和区块,链,分,分布式,记账,加密,验证,可追溯等等这些个关键词沾到哪怕一点点,这些所谓的区块链媒体人就会像狗闻到了屎了一样疯狂地把区块链概念往上套。
下面再借用巴菲特谈比特币延伸一下。
因为符合上述定义的、以比特币为代表的原教旨区块链技术,是反效率的,从经济学角度来说,不但不是一种帕累托改进,甚至还可以说是一种帕累托倒退。
5月5日,“股神”巴菲特在他领导的伯克希尔哈撒韦公司股东大会期间表示,比特币是一种“赌博设备”,不生产任何实质性的东西。他说,比特币“不生产,不和你对话,什么都不做。它就像一个海贝壳或者什么东西,那对我来说不是一种投资。”
巴菲特说,比特币有一点有限的用处,那些和欺诈活动有关。比如我揪一颗纽扣就可以当token,然后出价1000美元卖给你,看今天之内能不能涨到2000美元。
巴菲特表示,比特币有一点有限的用处,那些和欺诈活动有关。它们和很多骗局联系在一起,已经消失了。这方面有非常多的损失。
和我之前反复强调的对比特币的观点完全一致……
点到为止吧。
你对这个问题有什么更好的意见吗?欢迎在下方留言讨论!
区块链是比特币的一个重要概念,它本质上是一个去中心化的数据库,你可以理解为它是一个用链条将各种数据连成的一张网或者说一个板块。

什么是去中心化
在我们平时的交易中有一件事情很重要,那就是“记账”,比如说我买了一件东西要付多少钱、交易完成之后账户里还剩下多少钱,记录这种信息的行为就是记账。
我们现在的电子交易主要是通过银行卡、支付宝或者微信进行记账,“银行卡、支付宝、微信”这种第三方的存在就叫做有中心化,顾名思义,去中心化就是不需要这些第三方给我们记账。

去中心化如何记账
那去中心化怎么记账呢?把账单信息进行公开。参与交易的每一个人把每一笔交易信息公开到某一个地方,然后由那些最快算好的人进行记账。
举个例子,现在有ABCD四个人在进行交易,A把10个币支付给B,这时A要把这个账单广播出去,同时告诉BCD;然后B又把10个币支付给C,这时B要把这个账单广播出去,同时告诉ACD。同理,CD发生交易也要把账单信息公布给其他所有人。
我们把这四个人的交易账单打包成一个块,这个块就叫做区块,这个块打包完之后我们把它和以前的很多个账单记录区块连到一起,就形成了一条区块链。

而作为记账以及打包的酬劳,区块链交易系统会付给记账者打包者一些比特币作为奖励。

区块链(Blockchain)是分布式数据存储、点对点传输、共识机制、加密算法等计算机技术的新型应用模式。所谓共识机制是区块链系统中实现不同节点之间建立信任、获取权益的数学算法。
那么打个简单的比喻,例如某某华出演一部新电影,以现在互联网的发达很多人可以肆意下载到枪版或者盗版的该片。现在制片公司把它以智能合约的方式上传到区块链上,它不会储藏在一个中央仓库,而且通过最为先进密码学散布在一本全球账簿上,当有人用比特币支付购买观看时,该交易会被发送给全球的数以亿计的电脑,而在世界各地有一群叫做"矿工"的人,这些人掌握巨大的算力,其规模甚至比谷歌还要大上100倍。
每十分钟会生产出一个类似网络心跳的区块,这个区块包含10分钟之内所有的交易数据。然后旷工通过尝试解决一些复杂的数学问题。当然他们也会相互竞争,第一个找到问题解法,确认区块的矿工会得到数字货币形式的奖励。在比特币区块链的情况下,这就是比特币。然而最重要的这个区块会与上一个区块以及再上一个区块会形成一个相连,类似遍布全球的一张大渔网 。上面所有交易数据,资产的归属以及数量,都会打上数字蜡封的东西。
如果有黑客想要黑掉某一个区块来窃取某个账户的资产,那么他面对的不仅仅是一个区块,而是之前所有的区块,既一整条链上所有的交易历史数据。由于它不是仅仅存在在一台电脑上,而且是同一时间遍布几百甚至上千万台电脑上,而且所有几乎都在使用最高级的加密技术。也就意味着黑客要在一瞬间黑掉这几百万甚至上千万台计算资源。这比当前的所有计算系统要安全的多,这就是区块链的运行方式!
目前区块链还属于新兴技术,很多公司组织和机构也正在研发相应的落地应用,以比特币为代表的数字货币仅仅是区块链技术最早的落地应用(数字资产),带给大众的是去中心化的信任,无法篡改的记录等便捷。区块链对人类未来社会运营改变最大的科技。
我也是这样感觉的,其一,每种区块链都是早期没人知道,后期知道的都是接盘侠,其二,都是在大型市场旺的时候旺,低潮的时候一个比一个降得快。这两种说明,区块链没有实质性的投资作用,只能说投机倒把赚了就跑,还是一句话,赌!十赌九输
